- TI nspire
[TI-nspire] 계산 결과의 분모에 허수(i) or 무리수(√)를 그대로 남겨두는 방법
1. 분모의 유리화(Rationalisation) or 실수화(?)
[TI-nspire] 계산기는 '분자/분모 꼴'인 결과의 분모에 무리수(√)나 복소수(i)가 남아 있는 것을 싫어합니다.
ㄴ 다른 공학용 계산기들도 비슷합니다.
그래서 어지간하면 강제로 분모의 유리화 or 실수화를 진행합니다.
ㄴ 문자가 들어 있거나 해서 실수/허수 판단이 안되는 경우 등에는 진행되지 않습니다.

2. 문제의 발생
그 결과값이 상수인 경우에는 큰 문제가 되지 않으나, 미지수를 포함한 식인 경우에는 경우에 따라 아래처럼 문제가 될 수도 있습니다.
강제적인 유리화 또는 실수화 과정에서 (x-α)가 분모, 분자에 각각 곱해졌는데, 그 다음 계산에서 x=α 를 대입해야 하는 경우에는 분모가 0이 되고, 의도치 않게 결과값으로 undef 이 나옵니다.
결과적으로 쓸데없이 분모분자에 0을 곱해서 0/0 꼴을 만든 것과 같습니다.
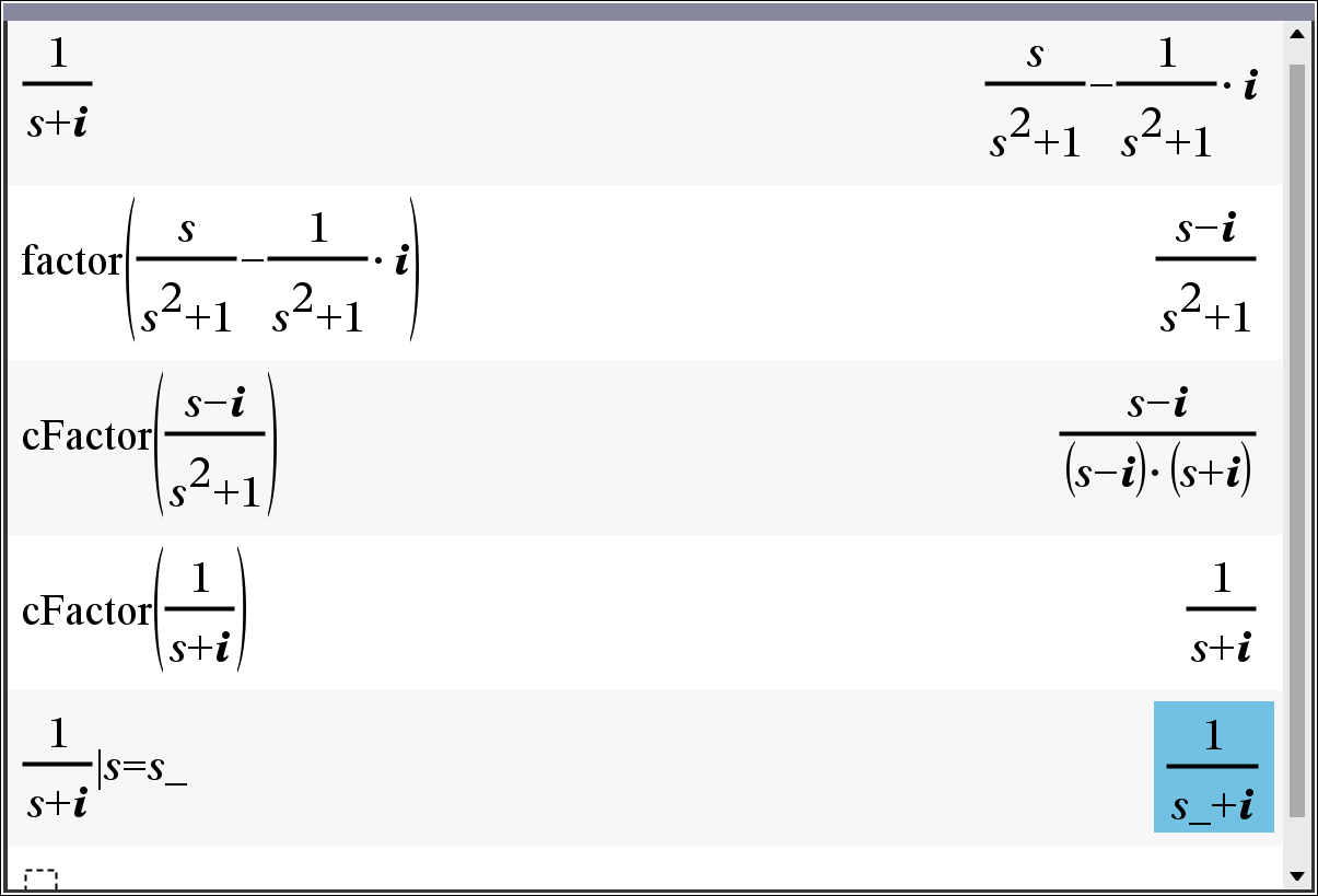
3. 해결 방안
factor(Expr1[, Var]) ⇒ expression
cfactor(Expr1[, Var]) ⇒ expression
- 옵션인 ,var 값을 생략해도 괜찮을 수 있지만, 가급적 입력하는 것을 추천합니다.
- 무리수에서는 factor, 복소수에서는 cfactor를 사용하는게 모양상 바람직합니다.
복소수 변수일 경우에는 변수 뒤에 언더스코어바(_)를 붙여주는 것이 바람직합니다. - 위 명령으로 최종 수식을 감싸주면 분모가 더이상 유리화 또는 실수화되지 않고 그대로 출력됩니다.

- 위처럼 분모 위치에 묶여있는 상태에서 |x=α 조건을 붙여서 사용하거나, 결과값에 조건을 붙여서 계산하면 undef 문제를 해결할 수 있습니다.

☆ 반대로 유리화가 진행되지 않은 채 남은 다항식을 강제로 통분하려면 comDenom( ) 명령을 사용하시면 됩니다.

댓글5
-
세상의모든계산기

ㄴ "Var 값의 입력여부"에 따라 결과의 차이가 발생할 수 있습니다. -
세상의모든계산기

cfactor 함수와 ,var 변수의 조합에 따라 다양한 결과가 나옴을 알 수 있습니다.
눈에 보이는 계산에서는 실수를 바로 파악할 수 있지만, 결과값이 외부로 즉시 드러나지 않는 프로그램 내부에서 이런 문제가 발생하면 문제 파악이 어려울 수 있습니다. 여러가지 경우를 가정해서 미리 테스트 해보는 일이 필요합니다.
-
1
세상의모든계산기

cfactor의 도움으로 원하는 결과식이 구해지긴 하지만, x=α 를 결과식이 아닌 처음의 수식에 집어넣으면 답이 안나올 수 있습니다.
이런 경우에는 어쩔 수 없이 계산을 2단계로 나누어서 해야 합니다. (다른 방법이 있으면 제보 바랍니다)
-
세상의모든계산기 님의 최근 댓글
정적분 구간에 미지수가 있고, solve 를 사용할 수 없을 때 그 값을 확인하려면? https://allcalc.org/57087 `SOLVE` 기능 내에 `∫(적분)` 기호를 사용할 수 없을 때 뉴튼-랩슨법을 직접 사용하는 방법 2026 04.15 뉴턴-랩슨 적분 방정식 시각화 v1.0 body { font-family: 'Pretendard', -apple-system, BlinkMacSystemFont, "Segoe UI", Roboto, Helvetica, Arial, sans-serif; display: flex; flex-direction: column; align-items: center; background: #f8f9fa; padding: 40px 20px; margin: 0; color: #333; } .container { background: white; padding: 40px; border-radius: 20px; box-shadow: 0 15px 35px rgba(0,0,0,0.08); max-width: 900px; width: 100%; } header { border-bottom: 2px solid #f1f3f4; margin-bottom: 30px; padding-bottom: 20px; } h1 { color: #1a73e8; margin: 0 0 10px 0; font-size: 1.8em; } p.subtitle { color: #5f6368; margin: 0; font-size: 1.1em; } .equation-box { background: #f1f3f4; padding: 15px; border-radius: 10px; text-align: center; margin-bottom: 30px; font-size: 1.3em; } canvas { border: 1px solid #e0e0e0; border-radius: 12px; background: #fff; width: 100%; height: auto; display: block; } .controls { margin-top: 30px; display: flex; gap: 15px; align-items: center; justify-content: center; flex-wrap: wrap; } button { padding: 12px 25px; border: none; border-radius: 8px; background: #1a73e8; color: white; cursor: pointer; font-weight: 600; font-size: 1em; transition: all 0.2s; box-shadow: 0 2px 5px rgba(26,115,232,0.3); } button:hover { background: #1557b0; transform: translateY(-1px); box-shadow: 0 4px 8px rgba(26,115,232,0.4); } button:active { transform: translateY(0); } button.secondary { background: #5f6368; box-shadow: 0 2px 5px rgba(0,0,0,0.2); } button.secondary:hover { background: #4a4e52; } .status-badge { background: #e8f0fe; color: #1967d2; padding: 8px 15px; border-radius: 20px; font-weight: bold; font-size: 0.9em; } .explanation { margin-top: 40px; padding: 25px; background: #fff8e1; border-left: 5px solid #ffc107; border-radius: 8px; line-height: 1.8; } .explanation h3 { margin-top: 0; color: #856404; } .math-symbol { font-family: 'Times New Roman', serif; font-style: italic; font-weight: bold; color: #d93025; } .code-snippet { background: #202124; color: #e8eaed; padding: 2px 6px; border-radius: 4px; font-family: monospace; } 📊 Newton-Raphson 적분 방정식 시뮬레이터 미분적분학의 기본 정리(FTC)를 이용한 수치해석 시각화 목표 방정식: ∫₀ᴬ (2√x) dx = 20 을 만족하는 A를 찾아라! 계산 시작 (A 추적) 초기화 현재 반복: 0회 💡 시각적 동작 원리 (Newton-Raphson & FTC) Step 1 (오차 측정): 현재 A까지 쌓인 파란색 면적이 목표치(20)와 얼마나 차이나는지 계산합니다. Step 2 (FTC의 마법): 면적의 변화율(미분)은 그 지점의 그래프 높이 f(A)와 같습니다. Step 3 (보정): 다음 A = 현재 A - (면적 오차 / 현재 높이) 공식을 사용하여 A를 이동시킵니다. 결론: 오차를 현재 높이로 나누면, 오차를 메우기 위해 필요한 가로 길이(ΔA)가 나옵니다. 이 과정을 반복하면 정답에 도달합니다! const canvas = document.getElementById('graphCanvas'); const ctx = canvas.getContext('2d'); const iterText = document.getElementById('iterText'); // 수학 설정 const targetArea = 20; const f = (x) => Math.sqrt(x) * 2; // 피적분 함수 f(x) = 2√x const F = (x) => (4/3) * Math.pow(x, 1.5); // 정적분 결과 F(x) = ∫ 2√x dx = 4/3 * x^(3/2) let A = 1.5; // 초기값 let iteration = 0; let animating = false; // 그래프 드로잉 설정 const scale = 50; const offsetX = 60; const offsetY = 380; function drawGrid() { ctx.strokeStyle = '#f1f3f4'; ctx.lineWidth = 1; ctx.beginPath(); for(let i=0; i 2026 04.11 참값 : A = ±2√5 근사값 : A≈±4.472135954999579392818347 2026 04.10 fx-570 ES 입력 결과 초기값 입력 반복 수식 입력 반복 결과 2026 04.10 파이썬 코드 검증 결과 초기값: 5.0 반복 1회차: 4.5000000000 반복 2회차: 4.4722222222 반복 3회차: 4.4721359558 반복 4회차: 4.4721359550 반복 5회차: 4.4721359550 초기값: 10.0 반복 1회차: 6.0000000000 반복 2회차: 4.6666666667 반복 3회차: 4.4761904762 반복 4회차: 4.4721377913 반복 5회차: 4.4721359550 2026 04.10